
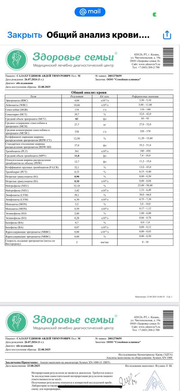
Девочки,кто разбирается в анализах 🩸 До этого писала,что если в крови будут опять снижены нейтрофилы,то педиатр пошлет к гематологу.Были чуть ниже нормы .Сейчас вроде норм ?Но другие показатели теперь от нормы за рамки вышли



Уф 😥 Воду да очень мало пьет ,одно гв и ест плохо
У вас написаны сбоку значения, которые считаются нормой, видно, что снижены эритроциты, повышены тромбоциты. Открываете Гугл, вводите: «снижены эритроциты, повышены тромбоциты», и вуаля, Гугл выдает, что это железо дефицитная анемия предположительно. Краткий экскурс по пользованию Гуглом, не благодарите)
Ничего себе ,вроде гемоглобин в норме .Спасибо)
@tatar400, это не я так говорю, а Гугл 😁 врач лучше объяснит, там могут разные причины быть
Я вижу обезвоживание и воспаление. Лейкоциты высоковаты, гематокрит и гемоглобин высоковаты, гранулоциты высоковаты.
В общем, есть воспалительный процесс.
Остальное в норме.